728x90
반응형

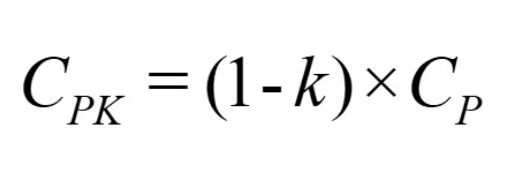
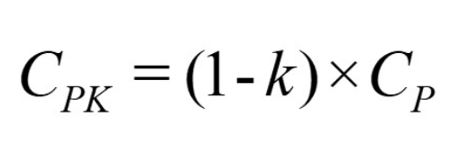
우리 공정이 과연 고객이 원하는 규격 범위에서 얼마나 생산할 수 있는지 능력

Cp는 클 수록, 그리고 최소한 1을 넘어야 한다.
Cp는 치우침을 고려할 수 없다 => Cpk
(규격이 한쪽만 있으면 없는 규격 자리에 (뮤)를 대입하고 분모 6sigma를 3sigma로 계산하면 된다. )

Cp는 단기데이터로 구함
*자료 참고 : https://blog.naver.com/unirone
6시그마 & Data Science : 네이버 블로그
6시그마, 실험계획법 그리고 빅데이터...
blog.naver.com
강사님 강의를 듣다가 블로그를 참조하여 자료 정리를 하였습니다.
혹시 문제가 될시 댓글 남겨주시면 삭제하겠습니다^^.
728x90
반응형
'배움 - 차근차근 기록하자 > [학습] 통계 🟢' 카테고리의 다른 글
| [교육] 기초 통계 교육 - 4.3 공정능력지수, 공정성능지수 (0) | 2021.05.26 |
|---|---|
| [교육] 기초 통계 교육 - 4.2 장기, 단기 데이터의 이해 (0) | 2021.05.26 |
| [교육] 기초 통계 교육 - 3. 관리도 (0) | 2021.05.26 |
| [교육] 기초 통계 교육 - 2.4 중앙값이란? (0) | 2021.05.26 |



