728x90
반응형
#근의공식 #이차방정식 #완전제곱식 #곱셈공식 #인수분해
방정식: 특정한 값을 대입했을 때만 성립하는 식
항등식: 어떠한 값에 대해서도 성립하는 식
일차 방정식: 미지수의 계수가 1인 방정식 (ax + b)
이차 방정식: 미지수의 계수가 2인 방정식 (ax2 + bx + c = 0)
* 이차방정식을 푸는 방법
(1) 근의 공식
(2) 인수 분해
근의 공식

자세한 유도 방법은 아래에...
이차방정식 유도 과정
1단계

2단계

그러면 아래와 같은 꼴의 이차방정식을 풀 수 있다.

3단계 (완전제곱식 변형)



기하학적으로 생각하면 쉬움

근의 공식 유도

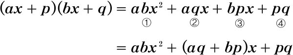
곱셈 공식
기하학적으로 보면...

아래와 같은 식이 이해가 된다.


인수 분해 공식

* 1번 인수분해를 잘 하기 위해서는 엇갈려 곱하기 방식을 사용하자.

인수 분해를 하고 각 항을 0으로 만드는 x의 값을 찾자!
* 이차 방정식 풀이 접근 방법
(1) 인수 분해 가능한지 파악
(2) 안되면 근의 공식 사용하자
* 이차 방정식은 아래와 같은 해가 존재한다.
(1) 서로 다른 두 실수해
(2) 하나의 실수해
(3) 허수해
728x90
반응형
'배움 - 차근차근 기록하자 > [학습] 수학' 카테고리의 다른 글
| [기하학] 03 삼각비 (1) | 2022.12.15 |
|---|---|
| [기하학] 02 도형의 성질 (0) | 2022.12.14 |
| [다시 고등 수학] 커리큘럼 정리 (0) | 2022.12.13 |
| [기하학] 01 명제의 증명 (0) | 2022.12.13 |



